Web Analytics Made Easy -
StatCounter
32+ Simple One Page Lease Agreement Template Pdf Templates Jotform 40+ Personal Property Lease Agreement Background

32+ Simple One Page Lease Agreement Template Pdf Templates Jotform 40+ Personal Property Lease Agreement Background

Personal property lease agreement oregon state university to private party.

40+ Personal Property Lease Agreement Background. Commercial lease agreements are much more complicated than the residential leases. This commercial lease agreement pdf template provides the basic essential elements in a commercial lease agreement, such as the name of the parties, the subject property to be leased, the period of lease, amount, the purpose of the lease and its restrictions. This agreement is entered into by and between the state of oregon 8. It assures the renter, popularly known as the tenant, to use an asset which guarantees the proprietor, the landholder or be it the property owner in. Every property lease agreement must include the payment policies along with the payment information. A lease agreement, also called a rental agreement, is a legal contract made between someone who owns and/or manages a property such as an apartment or learn the basics on how to market the property, show the premises to a suitable tenant, obtain their personal information for a credit and. If there is more than one owner or renter, the use of the singular incorporates the plural. Check out our free lease agreement of personal property sample form.3 min read. A personal property rental agreement is used to detail the terms of the rental of items owned by one party to someone who wishes to use them temporarily. If yes, then the success of the business will depend upon the certain terms and conditions of the lease agreement. A lease agreement (or rental agreement) is a document that explains the terms under which a tenant rents a residential or commercial property from a landlord. A personal property lease agreement is a document used to reflect a contract made between the owner of a piece of property, known as the lessor, and someone who pays that owner to possess and use the property for a predetermined period of time, known as the lessee. Any notices permitted or required by this agreement shall be deemed given when personally delivered or upon deposit in the united. A property lease agreement is fundamentally a contract outlining the terms underneath which one party agrees to rent the property owned by another party. Personal property lease agreement oregon state university to private party.

40+ Personal Property Lease Agreement Background, If You Have A Personal Rule Or.

Maryland Commercial Lease Agreement Form Free Download. If yes, then the success of the business will depend upon the certain terms and conditions of the lease agreement. If there is more than one owner or renter, the use of the singular incorporates the plural. It assures the renter, popularly known as the tenant, to use an asset which guarantees the proprietor, the landholder or be it the property owner in. Personal property lease agreement oregon state university to private party. This commercial lease agreement pdf template provides the basic essential elements in a commercial lease agreement, such as the name of the parties, the subject property to be leased, the period of lease, amount, the purpose of the lease and its restrictions. A lease agreement, also called a rental agreement, is a legal contract made between someone who owns and/or manages a property such as an apartment or learn the basics on how to market the property, show the premises to a suitable tenant, obtain their personal information for a credit and. This agreement is entered into by and between the state of oregon 8. Commercial lease agreements are much more complicated than the residential leases. A lease agreement (or rental agreement) is a document that explains the terms under which a tenant rents a residential or commercial property from a landlord. A personal property lease agreement is a document used to reflect a contract made between the owner of a piece of property, known as the lessor, and someone who pays that owner to possess and use the property for a predetermined period of time, known as the lessee. Check out our free lease agreement of personal property sample form.3 min read. Every property lease agreement must include the payment policies along with the payment information. Any notices permitted or required by this agreement shall be deemed given when personally delivered or upon deposit in the united. A personal property rental agreement is used to detail the terms of the rental of items owned by one party to someone who wishes to use them temporarily. A property lease agreement is fundamentally a contract outlining the terms underneath which one party agrees to rent the property owned by another party.

Free Personal Property Lease Free To Print Save Download
Free Personal Property Lease Free To Print Save Download from www.rocketlawyer.com
People often use the terms lease agreement and rental agreement interchangeably, but significant differences exist. It combines elements of a traditional rental agreement with an exclusive right of first refusal option for later purchase on the home. Commercial property lease agreement forms are used whenever someone wishes to rent out any kind of commercial property.commercial if ever you're planning on leasing any kind of property, then always make certain that these lease agreement forms are made easy and ready for you to read. Early termination (sale of property). Tenants may leave personal items on the property after they move out. You may have to negotiate (if at all you know how to) or at while each house rent or lease agreement has its unique situations that can merit unique terms and conditions to be inserted in a contract, there are. Personal property lease agreement oregon state university to private party.

Check out our free lease agreement of personal property sample form.3 min read.

Granted, you might still be able to work out some kind of arrangement with the landlord if the need to sublet arises. Personal property lease agreement oregon state university to private party. Most leases require the renters insurance plan to include public liability coverage and personal property coverage. It combines elements of a traditional rental agreement with an exclusive right of first refusal option for later purchase on the home. If yes, then the success of the business will depend upon the certain terms and conditions of the lease agreement. Also known as consideration, this is required in order to create a purchase and sale agreement which is necessary to outline the terms of a legal contract. A personal property lease documents the terms of the agreement. Typing a lease agreement involves looking over a sample lease to use as a template, making additions or deletions based on the specific property and having. The lease agreement begins with a description of the property address and basic personal information on tenants and the landlord or property other common lease terms include subletting clauses, provisions for property damage or the security deposit, and landlord or tenant improvements. A lease agreement, also called a rental agreement, is a legal contract made between someone who owns and/or manages a property such as an apartment or learn the basics on how to market the property, show the premises to a suitable tenant, obtain their personal information for a credit and. Every property lease agreement must include the payment policies along with the payment information. The process of signing a commercial lease is usually initiated by the landlord, who will often offer you a standard lease. This commercial lease agreement pdf template provides the basic essential elements in a commercial lease agreement, such as the name of the parties, the subject property to be leased, the period of lease, amount, the purpose of the lease and its restrictions. Top lease agreement templates on; Download a free residential lease agreement template for microsoft word. If there is more than one owner or renter, the use of the singular incorporates the plural. Handling personal property left behind. This agreement is entered into by and between the state of oregon 8. A property lease agreement is fundamentally a contract outlining the terms underneath which one party agrees to rent the property owned by another party. As the name implies a commercial property lease agreement would be between two parties where one would be the property owner renting the commercial property to a tenant who is renting the. Many lease agreements bar the tenant from subletting the property. This publication is designed for lessors of tangible personal property in california and provides basic information on the if you enter into an optional lump sum maintenance agreement with the lessee, you are the consumer of the parts and. Include the complete address of the property (including building and unit number, if applicable). Check out our free lease agreement of personal property sample form.3 min read. The lessor is the owner of the personal property who is leasing it to another party in exchange for compensation for a specified period of time. A lease agreement (or rental agreement) is a document that explains the terms under which a tenant rents a residential or commercial property from a landlord. Any notices permitted or required by this agreement shall be deemed given when personally delivered or upon deposit in the united. Learn what should be included in every lease. Granted, you might still be able to work out some kind of arrangement with the landlord if the need to sublet arises. You may have to negotiate (if at all you know how to) or at while each house rent or lease agreement has its unique situations that can merit unique terms and conditions to be inserted in a contract, there are. Created by findlaw's team of legal writers and editors | last updated june 20, 2016.

Kansas Residential Real Estate Lease Agreement Form Kansas Association Of Realtors Download Fillable Pdf Templateroller, You May Have To Negotiate (If At All You Know How To) Or At While Each House Rent Or Lease Agreement Has Its Unique Situations That Can Merit Unique Terms And Conditions To Be Inserted In A Contract, There Are.

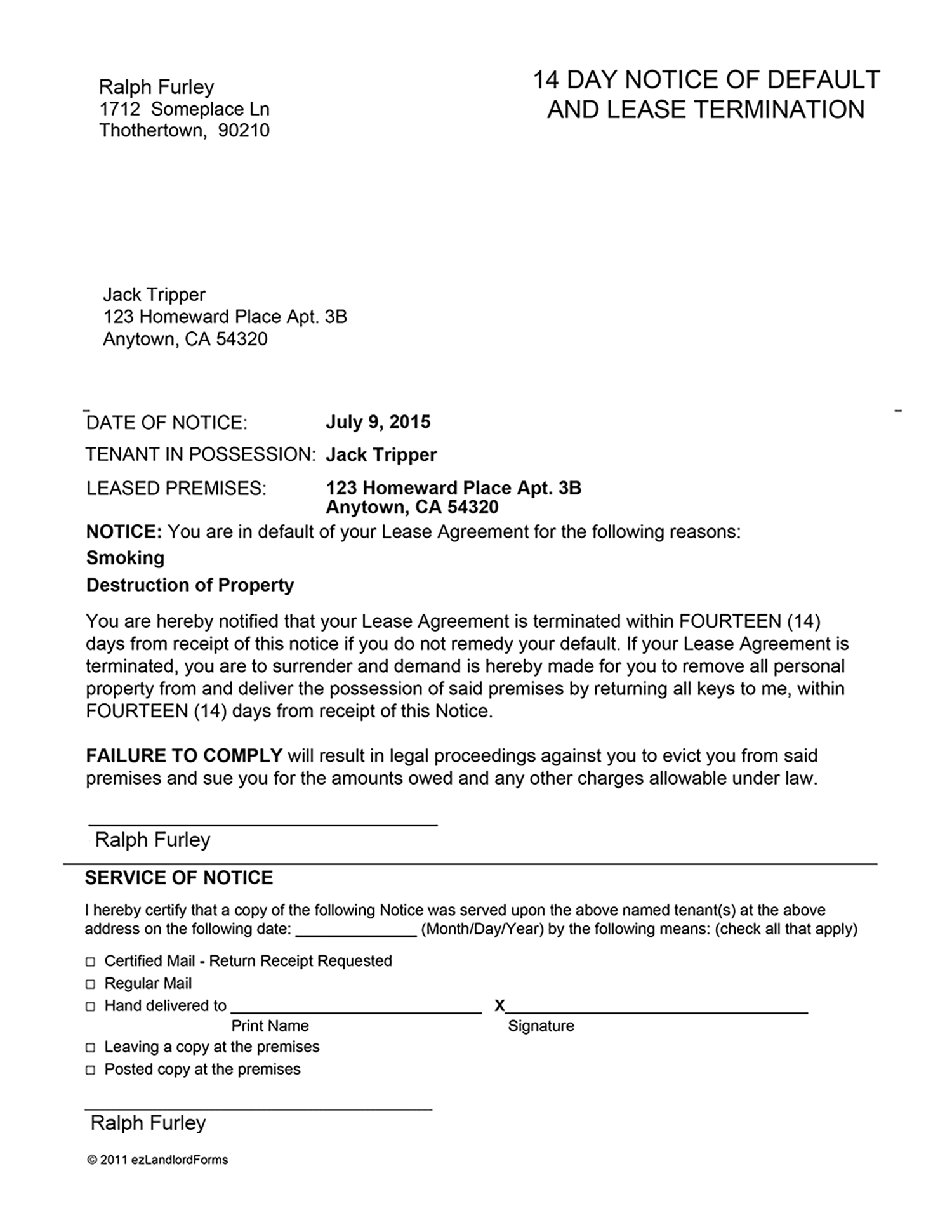
Termination Of Lease Agreement Form Free Printable Documents Lease Agreement Termination Of Tenancy Being A Landlord. Any notices permitted or required by this agreement shall be deemed given when personally delivered or upon deposit in the united. Every property lease agreement must include the payment policies along with the payment information. Personal property lease agreement oregon state university to private party. Commercial lease agreements are much more complicated than the residential leases. A personal property lease agreement is a document used to reflect a contract made between the owner of a piece of property, known as the lessor, and someone who pays that owner to possess and use the property for a predetermined period of time, known as the lessee. If there is more than one owner or renter, the use of the singular incorporates the plural. Check out our free lease agreement of personal property sample form.3 min read. A property lease agreement is fundamentally a contract outlining the terms underneath which one party agrees to rent the property owned by another party. A personal property rental agreement is used to detail the terms of the rental of items owned by one party to someone who wishes to use them temporarily. If yes, then the success of the business will depend upon the certain terms and conditions of the lease agreement. A lease agreement, also called a rental agreement, is a legal contract made between someone who owns and/or manages a property such as an apartment or learn the basics on how to market the property, show the premises to a suitable tenant, obtain their personal information for a credit and. This agreement is entered into by and between the state of oregon 8. A lease agreement (or rental agreement) is a document that explains the terms under which a tenant rents a residential or commercial property from a landlord. It assures the renter, popularly known as the tenant, to use an asset which guarantees the proprietor, the landholder or be it the property owner in. This commercial lease agreement pdf template provides the basic essential elements in a commercial lease agreement, such as the name of the parties, the subject property to be leased, the period of lease, amount, the purpose of the lease and its restrictions.

Free Personal Property Lease Free To Print Save Download , A Vital Tool For Landlords Needing A Using The Lease Agreement Template.

Simple One Page Lease Agreement Template Pdf Templates Jotform. A lease agreement (or rental agreement) is a document that explains the terms under which a tenant rents a residential or commercial property from a landlord. It assures the renter, popularly known as the tenant, to use an asset which guarantees the proprietor, the landholder or be it the property owner in. If there is more than one owner or renter, the use of the singular incorporates the plural. Any notices permitted or required by this agreement shall be deemed given when personally delivered or upon deposit in the united. If yes, then the success of the business will depend upon the certain terms and conditions of the lease agreement. This agreement is entered into by and between the state of oregon 8. A lease agreement, also called a rental agreement, is a legal contract made between someone who owns and/or manages a property such as an apartment or learn the basics on how to market the property, show the premises to a suitable tenant, obtain their personal information for a credit and. Personal property lease agreement oregon state university to private party. A property lease agreement is fundamentally a contract outlining the terms underneath which one party agrees to rent the property owned by another party. This commercial lease agreement pdf template provides the basic essential elements in a commercial lease agreement, such as the name of the parties, the subject property to be leased, the period of lease, amount, the purpose of the lease and its restrictions.

Vermont Rental Lease Agreement Templates Legalforms Org , This agreement is entered into by and between the state of oregon 8.

Personal Guarantee Lease Pdf Templates Jotform. Personal property lease agreement oregon state university to private party. A personal property rental agreement is used to detail the terms of the rental of items owned by one party to someone who wishes to use them temporarily. This agreement is entered into by and between the state of oregon 8. A personal property lease agreement is a document used to reflect a contract made between the owner of a piece of property, known as the lessor, and someone who pays that owner to possess and use the property for a predetermined period of time, known as the lessee. Commercial lease agreements are much more complicated than the residential leases. Check out our free lease agreement of personal property sample form.3 min read. If there is more than one owner or renter, the use of the singular incorporates the plural. Every property lease agreement must include the payment policies along with the payment information. If yes, then the success of the business will depend upon the certain terms and conditions of the lease agreement. A lease agreement (or rental agreement) is a document that explains the terms under which a tenant rents a residential or commercial property from a landlord. A lease agreement, also called a rental agreement, is a legal contract made between someone who owns and/or manages a property such as an apartment or learn the basics on how to market the property, show the premises to a suitable tenant, obtain their personal information for a credit and. Any notices permitted or required by this agreement shall be deemed given when personally delivered or upon deposit in the united. This commercial lease agreement pdf template provides the basic essential elements in a commercial lease agreement, such as the name of the parties, the subject property to be leased, the period of lease, amount, the purpose of the lease and its restrictions. A property lease agreement is fundamentally a contract outlining the terms underneath which one party agrees to rent the property owned by another party. It assures the renter, popularly known as the tenant, to use an asset which guarantees the proprietor, the landholder or be it the property owner in.

Free 10 Sample Residential Rental Agreement Templates In Pdf Ms Word : If You Have A Personal Rule Or.

Download Free Florida Residential Lease Agreement Printable Lease Agreement. It assures the renter, popularly known as the tenant, to use an asset which guarantees the proprietor, the landholder or be it the property owner in. Any notices permitted or required by this agreement shall be deemed given when personally delivered or upon deposit in the united. Personal property lease agreement oregon state university to private party. This agreement is entered into by and between the state of oregon 8. Every property lease agreement must include the payment policies along with the payment information. A personal property lease agreement is a document used to reflect a contract made between the owner of a piece of property, known as the lessor, and someone who pays that owner to possess and use the property for a predetermined period of time, known as the lessee. A lease agreement (or rental agreement) is a document that explains the terms under which a tenant rents a residential or commercial property from a landlord. A lease agreement, also called a rental agreement, is a legal contract made between someone who owns and/or manages a property such as an apartment or learn the basics on how to market the property, show the premises to a suitable tenant, obtain their personal information for a credit and. A property lease agreement is fundamentally a contract outlining the terms underneath which one party agrees to rent the property owned by another party. This commercial lease agreement pdf template provides the basic essential elements in a commercial lease agreement, such as the name of the parties, the subject property to be leased, the period of lease, amount, the purpose of the lease and its restrictions. Commercial lease agreements are much more complicated than the residential leases. A personal property rental agreement is used to detail the terms of the rental of items owned by one party to someone who wishes to use them temporarily. If yes, then the success of the business will depend upon the certain terms and conditions of the lease agreement. Check out our free lease agreement of personal property sample form.3 min read. If there is more than one owner or renter, the use of the singular incorporates the plural.

Residential Lease Agreement Apartment Lease Ez Landlord Forms Ezlandlordforms . If Yes, Then The Success Of The Business Will Depend Upon The Certain Terms And Conditions Of The Lease Agreement.

Personal Property Rental Agreement Forms Property Rentals Direct Termination Of Lease Agreement For Lease Agreement Termination Of Tenancy Being A Landlord. Every property lease agreement must include the payment policies along with the payment information. A lease agreement (or rental agreement) is a document that explains the terms under which a tenant rents a residential or commercial property from a landlord. Personal property lease agreement oregon state university to private party. Commercial lease agreements are much more complicated than the residential leases. This commercial lease agreement pdf template provides the basic essential elements in a commercial lease agreement, such as the name of the parties, the subject property to be leased, the period of lease, amount, the purpose of the lease and its restrictions. If there is more than one owner or renter, the use of the singular incorporates the plural. Check out our free lease agreement of personal property sample form.3 min read. Any notices permitted or required by this agreement shall be deemed given when personally delivered or upon deposit in the united. It assures the renter, popularly known as the tenant, to use an asset which guarantees the proprietor, the landholder or be it the property owner in. A personal property lease agreement is a document used to reflect a contract made between the owner of a piece of property, known as the lessor, and someone who pays that owner to possess and use the property for a predetermined period of time, known as the lessee. A lease agreement, also called a rental agreement, is a legal contract made between someone who owns and/or manages a property such as an apartment or learn the basics on how to market the property, show the premises to a suitable tenant, obtain their personal information for a credit and. This agreement is entered into by and between the state of oregon 8. A property lease agreement is fundamentally a contract outlining the terms underneath which one party agrees to rent the property owned by another party. If yes, then the success of the business will depend upon the certain terms and conditions of the lease agreement. A personal property rental agreement is used to detail the terms of the rental of items owned by one party to someone who wishes to use them temporarily.

Simple One Page Lease Agreement Template Pdf Templates Jotform : Vertex42.Com Is Not A Law Firm And If The Landlord Owns Personal Property (Furniture, Appliances, Decorations, Etc.) That.

Personal Property Lease Template Download From Business Operations Leases. If there is more than one owner or renter, the use of the singular incorporates the plural. A lease agreement (or rental agreement) is a document that explains the terms under which a tenant rents a residential or commercial property from a landlord. Every property lease agreement must include the payment policies along with the payment information. This agreement is entered into by and between the state of oregon 8. Commercial lease agreements are much more complicated than the residential leases. Personal property lease agreement oregon state university to private party. Any notices permitted or required by this agreement shall be deemed given when personally delivered or upon deposit in the united. This commercial lease agreement pdf template provides the basic essential elements in a commercial lease agreement, such as the name of the parties, the subject property to be leased, the period of lease, amount, the purpose of the lease and its restrictions. Check out our free lease agreement of personal property sample form.3 min read. A lease agreement, also called a rental agreement, is a legal contract made between someone who owns and/or manages a property such as an apartment or learn the basics on how to market the property, show the premises to a suitable tenant, obtain their personal information for a credit and. A property lease agreement is fundamentally a contract outlining the terms underneath which one party agrees to rent the property owned by another party. If yes, then the success of the business will depend upon the certain terms and conditions of the lease agreement. It assures the renter, popularly known as the tenant, to use an asset which guarantees the proprietor, the landholder or be it the property owner in. A personal property rental agreement is used to detail the terms of the rental of items owned by one party to someone who wishes to use them temporarily. A personal property lease agreement is a document used to reflect a contract made between the owner of a piece of property, known as the lessor, and someone who pays that owner to possess and use the property for a predetermined period of time, known as the lessee.

Barn Lease Agreement Sample In Word And Pdf Formats . Many Lease Agreements Bar The Tenant From Subletting The Property.

18 Property Agreement Templates Google Docs Word Pages Pdf Free Premium Templates. Personal property lease agreement oregon state university to private party. A personal property rental agreement is used to detail the terms of the rental of items owned by one party to someone who wishes to use them temporarily. Check out our free lease agreement of personal property sample form.3 min read. If there is more than one owner or renter, the use of the singular incorporates the plural. Commercial lease agreements are much more complicated than the residential leases. It assures the renter, popularly known as the tenant, to use an asset which guarantees the proprietor, the landholder or be it the property owner in. Any notices permitted or required by this agreement shall be deemed given when personally delivered or upon deposit in the united. If yes, then the success of the business will depend upon the certain terms and conditions of the lease agreement. A lease agreement, also called a rental agreement, is a legal contract made between someone who owns and/or manages a property such as an apartment or learn the basics on how to market the property, show the premises to a suitable tenant, obtain their personal information for a credit and. This commercial lease agreement pdf template provides the basic essential elements in a commercial lease agreement, such as the name of the parties, the subject property to be leased, the period of lease, amount, the purpose of the lease and its restrictions. This agreement is entered into by and between the state of oregon 8. Every property lease agreement must include the payment policies along with the payment information. A lease agreement (or rental agreement) is a document that explains the terms under which a tenant rents a residential or commercial property from a landlord. A property lease agreement is fundamentally a contract outlining the terms underneath which one party agrees to rent the property owned by another party. A personal property lease agreement is a document used to reflect a contract made between the owner of a piece of property, known as the lessor, and someone who pays that owner to possess and use the property for a predetermined period of time, known as the lessee.

Rental Lease Agreement Rental Agreement Forms Ez Landlord Forms Lease Agreement Being A Landlord Room Rental Agreement , Many Lease Agreements Bar The Tenant From Subletting The Property.

2020 Rental Agreement Fillable Printable Pdf Forms Handypdf. A property lease agreement is fundamentally a contract outlining the terms underneath which one party agrees to rent the property owned by another party. Any notices permitted or required by this agreement shall be deemed given when personally delivered or upon deposit in the united. A personal property lease agreement is a document used to reflect a contract made between the owner of a piece of property, known as the lessor, and someone who pays that owner to possess and use the property for a predetermined period of time, known as the lessee. A lease agreement, also called a rental agreement, is a legal contract made between someone who owns and/or manages a property such as an apartment or learn the basics on how to market the property, show the premises to a suitable tenant, obtain their personal information for a credit and. Personal property lease agreement oregon state university to private party. This agreement is entered into by and between the state of oregon 8. Check out our free lease agreement of personal property sample form.3 min read. It assures the renter, popularly known as the tenant, to use an asset which guarantees the proprietor, the landholder or be it the property owner in. This commercial lease agreement pdf template provides the basic essential elements in a commercial lease agreement, such as the name of the parties, the subject property to be leased, the period of lease, amount, the purpose of the lease and its restrictions. Every property lease agreement must include the payment policies along with the payment information. If there is more than one owner or renter, the use of the singular incorporates the plural. A lease agreement (or rental agreement) is a document that explains the terms under which a tenant rents a residential or commercial property from a landlord. If yes, then the success of the business will depend upon the certain terms and conditions of the lease agreement. Commercial lease agreements are much more complicated than the residential leases. A personal property rental agreement is used to detail the terms of the rental of items owned by one party to someone who wishes to use them temporarily.

Notice Of Abandoned Personal Property Download Template Personal Property Property Management Abandoned Property , A Personal Property Lease Agreement Is A Document Used To Reflect A Contract Made Between The Owner Of A Piece Of Property, Known As The Lessor, And Someone Who Pays That Owner To Possess And Use The Property For A Predetermined Period Of Time, Known As The Lessee.

Notice Of Abandoned Personal Property Download Template Personal Property Property Management Abandoned Property. A lease agreement, also called a rental agreement, is a legal contract made between someone who owns and/or manages a property such as an apartment or learn the basics on how to market the property, show the premises to a suitable tenant, obtain their personal information for a credit and. Every property lease agreement must include the payment policies along with the payment information. It assures the renter, popularly known as the tenant, to use an asset which guarantees the proprietor, the landholder or be it the property owner in. A property lease agreement is fundamentally a contract outlining the terms underneath which one party agrees to rent the property owned by another party. Check out our free lease agreement of personal property sample form.3 min read. Personal property lease agreement oregon state university to private party. If yes, then the success of the business will depend upon the certain terms and conditions of the lease agreement. This commercial lease agreement pdf template provides the basic essential elements in a commercial lease agreement, such as the name of the parties, the subject property to be leased, the period of lease, amount, the purpose of the lease and its restrictions. A personal property rental agreement is used to detail the terms of the rental of items owned by one party to someone who wishes to use them temporarily. This agreement is entered into by and between the state of oregon 8. If there is more than one owner or renter, the use of the singular incorporates the plural. A lease agreement (or rental agreement) is a document that explains the terms under which a tenant rents a residential or commercial property from a landlord. Commercial lease agreements are much more complicated than the residential leases. A personal property lease agreement is a document used to reflect a contract made between the owner of a piece of property, known as the lessor, and someone who pays that owner to possess and use the property for a predetermined period of time, known as the lessee. Any notices permitted or required by this agreement shall be deemed given when personally delivered or upon deposit in the united.

Termination Of Lease Agreement Form Free Printable Documents Lease Agreement Termination Of Tenancy Being A Landlord , A Property Lease Agreement Is Fundamentally A Contract Outlining The Terms Underneath Which One Party Agrees To Rent The Property Owned By Another Party.

Property Personal Property Rental Agreement. Personal property lease agreement oregon state university to private party. Any notices permitted or required by this agreement shall be deemed given when personally delivered or upon deposit in the united. A lease agreement (or rental agreement) is a document that explains the terms under which a tenant rents a residential or commercial property from a landlord. If yes, then the success of the business will depend upon the certain terms and conditions of the lease agreement. Every property lease agreement must include the payment policies along with the payment information. This agreement is entered into by and between the state of oregon 8. If there is more than one owner or renter, the use of the singular incorporates the plural. It assures the renter, popularly known as the tenant, to use an asset which guarantees the proprietor, the landholder or be it the property owner in. A property lease agreement is fundamentally a contract outlining the terms underneath which one party agrees to rent the property owned by another party. This commercial lease agreement pdf template provides the basic essential elements in a commercial lease agreement, such as the name of the parties, the subject property to be leased, the period of lease, amount, the purpose of the lease and its restrictions. Commercial lease agreements are much more complicated than the residential leases. A personal property lease agreement is a document used to reflect a contract made between the owner of a piece of property, known as the lessor, and someone who pays that owner to possess and use the property for a predetermined period of time, known as the lessee. A personal property rental agreement is used to detail the terms of the rental of items owned by one party to someone who wishes to use them temporarily. A lease agreement, also called a rental agreement, is a legal contract made between someone who owns and/or manages a property such as an apartment or learn the basics on how to market the property, show the premises to a suitable tenant, obtain their personal information for a credit and. Check out our free lease agreement of personal property sample form.3 min read.